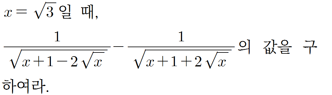
이중근호 문제 모음

채점 빠른 채점 선택한 문제 제거

이용약관 | 개인정보취급방침 | [책소개]수학을 해야 하는 이유?

Copyright custree © 2015~